滚动轴承配合的重要性
若滚动轴承与轴之间的过盈量过小,且内圈在承载状态下旋转时,内圈与轴之间会产生圆周方向的有害滑动。
被称做蠕变(creep)的套圈的滑动现象,是在配合面过盈量不足的情况下,由于承载点向圆周方向移动,使套圈相对轴或轴承座,沿圆周方向移动的现象。
蠕变旦产生,配合面明显磨损,损伤轴或轴承座,而且,磨损粉末会侵入轴承内部,导致异常发热、振动。
因此,-般在轴承的配合上,重要的是给予承受负荷旋转的套圈适合的过盈量。将套圈固定在轴或轴承座上,以防止运转中的蠕变。但仅靠在轴向方向上紧固轴承的端面还不足以防止其蠕变的发生。此外,根据使甲条件及轴承安装.拆卸的难易,内.外圈不设过盈量的场合很多。这些情况下会因蠕变面损伤配合面,所以有必要考虑润滑和其它措施。
滚动轴承配合的选择
(1)负荷的性质与配合
选择配合,根据轴承承受负荷的方向和内圈外圈的旋转状况而定,一般参照表9.1。
(2)负荷的大小与过盈量
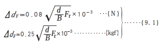
轴承承受径向负荷,则内圈的过盈量减少,内圈过盈量的减少量,一般以下式可求得。
3)由轴承、轴及轴承座的温度差而产生的过盈量的变化
轴承内圈配合面的过盈量,随运转中轴承温度的上升而减少,设轴承内部温度和轴承座周围温度的温度差为⊿T(℃),轴和内圈配合面的温度差大致可假定为(0.1~0. 15) T⊿因此,这个由于温度差而产生内圈过盈量减少量dT⊿用(9.3)式求出。
再者,在外圈和轴承座之间,由于两者温度差及膨胀系数的差,有时轴承的温升反而会使过盈量增加。
(4)有效过盈量和配合面的加工精度
因配合面微小的凹凸,装配时会受到压损,所以有效过盈量比名义过盈量小,这种名义过盈量的减少量,则与配合面的加工精度有关,道常配合面的有效过盈量可以用下式求出。
轴承内径30~150mm左右的轴承的有效过盈量,大约是名义过盈量的95%。
(5)由于配合而产生的应力及套圈的膨胀、收缩
过盈配合时,将轴承安装到轴或轴承座上,套圈会膨胀或收缩,从而产生应力。
过盈量过大,套圈有可能会破损,所以作为标准,将最大过盈量控制在轴径的7/00000以下为妥。
关于配合面的表面压力,套圈的膨胀,收缩量及圆周方向的应力,可用15.2项。
如前所述,为选择适合用途的配合,要考患轴承负荷的性质、大小、温度条件、轴承的安装,拆卸诸条件。
将轴承安装到薄壁轴承座、空心轴的场合,过盈量需要比普通大。分离式轴承座,很可能使轴承外圈变形。所以,在外国需要过益配合的条件下最好不使用分离式轴手座。
另外,在振动大的部位,内圈、外圈要采取过盈配合。
表9.2~-9. 7列出了一般推荐配合:
















